Info CCHP : aide achat vélo
Nous vous informons du renouvellement en 2025 de l’aide à l’achat de VAE de la Communauté de communes.
Pour rappel, cette aide s’élève à 25% du prix d’achat TTC, plafonnée à 200 euros.
Les principales conditions d’éligibilité :
Les vélos éligibles : VAE électrique (vélo de ville, VTT), vélo cargo électrique, vélo pliant électrique, et désormais l’achat de kit d’électrification (sans la pose) pour des vélos non électriques. Les vélos peuvent être achetés neufs ou d’occasion auprès d’un professionnel (facture à l’appui).
Voici le lien vers le site internet de la CCHP : https://cc-hautpoitou.fr/aide-a-lachat-dun-velo-a-assistance-electrique-2025/
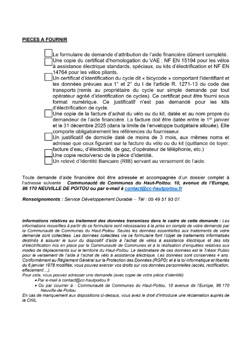
Les habitants intéressés par ce dispositif peuvent retrouver le dossier de demande d’aide sur notre site internet ou au siège de la CCHP.
Le dépôt du dossier se fait par voie postale au siège ou désormais par mail à contact@cc-hautpoitou.fr


Anaïs JOUNEAU
Chargée de mission mobilité durable
CC du Haut-Poitou
10 avenue de l’Europe, 86170 Neuville-de-Poitou
05 19 08 19 80
a.jouneau@cc-hautpoitou.fr
Pour rappel, cette aide s’élève à 25% du prix d’achat TTC, plafonnée à 200 euros.
Les principales conditions d’éligibilité :
- Être résident et majeur, sur le territoire de la CCHP ;
- Ne pas avoir déjà bénéficié de cette aide ;
- Disposer d’une facture d’achat datée entre le 1 janvier et 31 décembre 2025.
Les vélos éligibles : VAE électrique (vélo de ville, VTT), vélo cargo électrique, vélo pliant électrique, et désormais l’achat de kit d’électrification (sans la pose) pour des vélos non électriques. Les vélos peuvent être achetés neufs ou d’occasion auprès d’un professionnel (facture à l’appui).
Voici le lien vers le site internet de la CCHP : https://cc-hautpoitou.fr/aide-a-lachat-dun-velo-a-assistance-electrique-2025/
Les habitants intéressés par ce dispositif peuvent retrouver le dossier de demande d’aide sur notre site internet ou au siège de la CCHP.
Le dépôt du dossier se fait par voie postale au siège ou désormais par mail à contact@cc-hautpoitou.fr
Anaïs JOUNEAU
Chargée de mission mobilité durable
CC du Haut-Poitou
10 avenue de l’Europe, 86170 Neuville-de-Poitou
05 19 08 19 80
a.jouneau@cc-hautpoitou.fr
