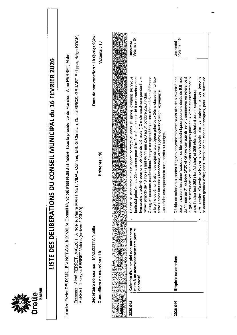
En PJ la liste des délibérations du Conseil Municipal du 16/02/2026.
Conseil Municipal du 16 février 2026 17/02/2026 En PJ la liste des délibérations du Conseil Municipal du 16/02/2026.