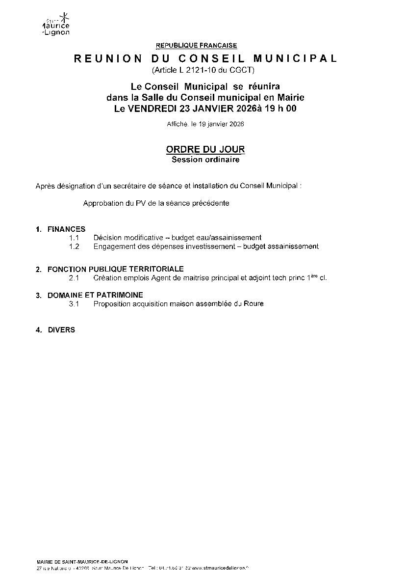
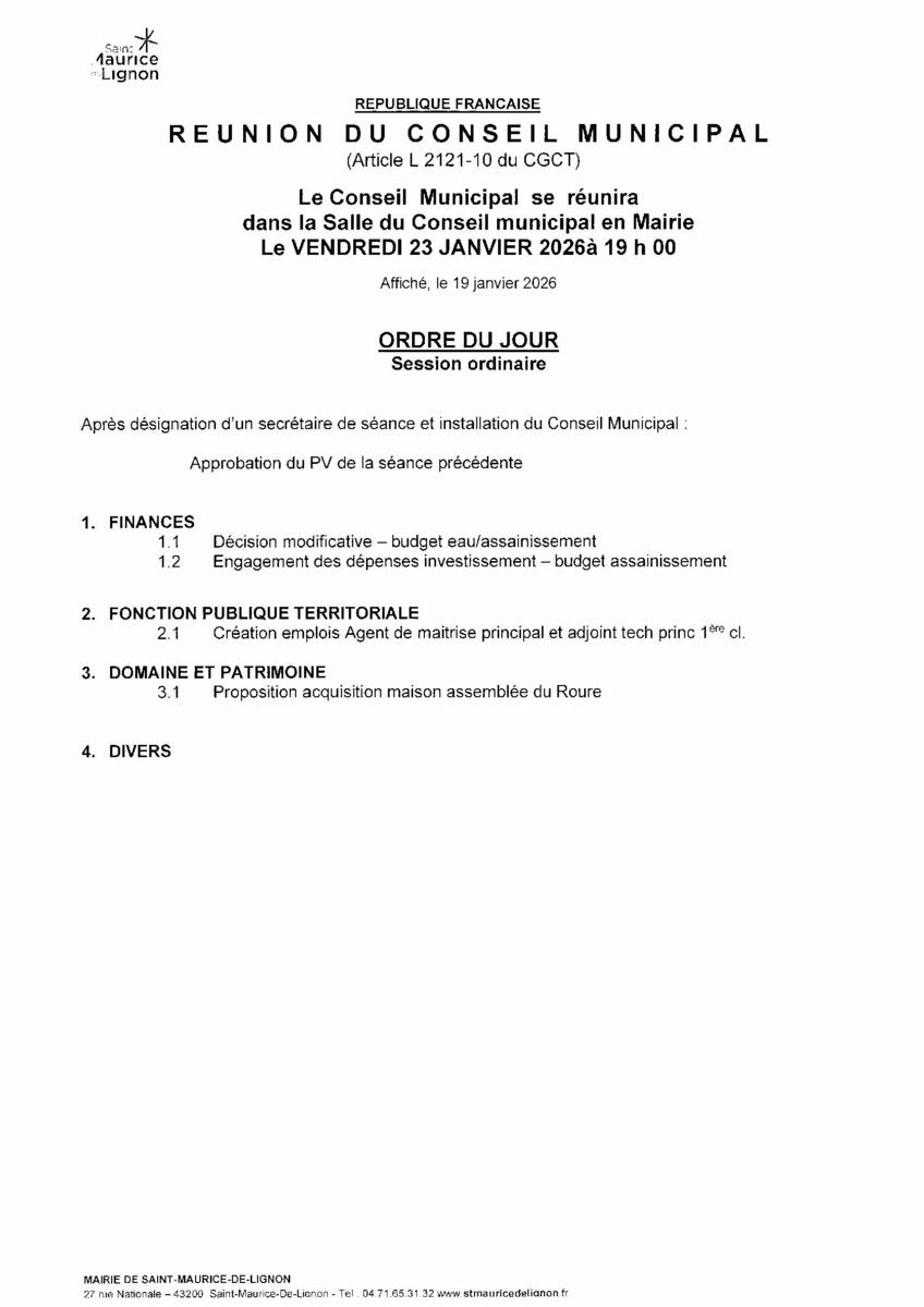
Your town hall / News / Ordre du jour - Conseil municipal - Vendredi 23 janvier 2026

Ordre du jour - Conseil municipal - Vendredi 23 janvier 2026

Veuillez trouver ci-joint l'ordre du jour du prochain conseil municipal